Trapezoid Midsegments & Signed Barycentric Coordinates
When GPS maps your position, they don’t care whether you’re “inside” or “outside” a region — the math works the same way. Signed coordinates let mathematicians describe any point in the plane using just three reference vertices, even points outside the triangle. This same idea powers computer graphics, robotics, and physics simulations.
Topics Covered
- Review: barycentric coordinates for interior points — \(P = \frac{S_1}{S}A + \frac{S_2}{S}B + \frac{S_3}{S}C\)
- Butterfly triangle area ratios: equal ratios propagate through sub-triangles
- Trapezoid median line: proof that \(m = \frac{u + \ell}{2}\) using vector methods
- Generalizing to any trisector line: \(x = \frac{2}{3}u + \frac{1}{3}\ell\)
- Weighted averages applied to segment lengths (not just coordinates)
- Negative weights: what happens when a point lies outside the segment
- Signed barycentric coordinates for exterior points
Lecture Video
Key Video Frames




What You Need to Know First
Given a triangle \(ABC\) and a point \(P\) inside it, connect \(P\) to all three vertices. This divides the triangle into three smaller triangles with areas \(S_1\), \(S_2\), \(S_3\) (opposite vertices \(A\), \(B\), \(C\) respectively).
The point \(P\) can be written as a weighted average of the vertices:
\[P = \frac{S_1}{S}A + \frac{S_2}{S}B + \frac{S_3}{S}C\]
where \(S = S_1 + S_2 + S_3\) is the total area. The weights always add up to 1.
A trapezoid is a quadrilateral with exactly one pair of parallel sides. The parallel sides are called bases (upper base \(u\) and lower base \(\ell\)), and the perpendicular distance between them is the height \(h\).
Area \(= \frac{1}{2}(u + \ell) \cdot h\)
The median line (midsegment) connects the midpoints of the two non-parallel sides.
Key Concepts
Trapezoid Median Line via Vectors
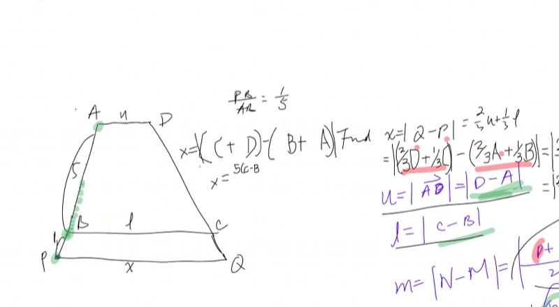
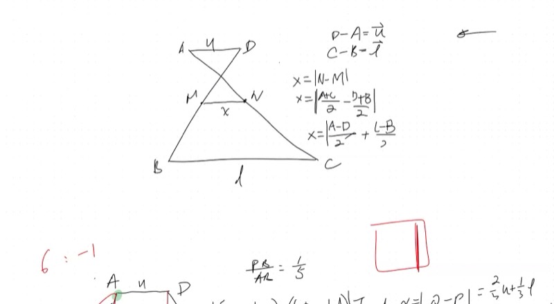
Label the trapezoid vertices \(A\), \(B\), \(C\), \(D\) where \(AD\) is the upper base (length \(u\)) and \(BC\) is the lower base (length \(\ell\)).
The midpoints of the non-parallel sides are: \[M = \frac{A + B}{2}, \quad N = \frac{D + C}{2}\]
The median length is: \[|N - M| = \left|\frac{D + C}{2} - \frac{A + B}{2}\right| = \frac{1}{2}|(\underbrace{D - A}_{= u}) + (\underbrace{C - B}_{= \ell})| = \frac{u + \ell}{2}\]
Instead of drawing auxiliary constructions (flipping the trapezoid, making parallelograms), we express each point as a vector and use algebra. The key insight: \(D - A\) and \(C - B\) point in the same direction (both horizontal), so their magnitudes add directly.
Explore — drag the vertices to reshape the trapezoid:
Generalizing: Trisector Lines
If instead of the midpoint we take the point \(\frac{1}{3}\) of the way from the top:
\[P = \frac{2}{3}A + \frac{1}{3}B, \quad Q = \frac{2}{3}D + \frac{1}{3}C\]
Then:
\[x = |Q - P| = \frac{2}{3}u + \frac{1}{3}\ell\]
The weighted average of the bases gives the length at any height — just change the weights!
Negative Weights: Points Outside
When a point \(P\) lies outside a line segment \(AB\), we can still write it as a weighted average — but one weight becomes negative.
If \(P\) is outside segment \(AB\) with ratio \(AP:PB = 6:(-1)\), then:
\[P = \frac{-1}{5}A + \frac{6}{5}B\]
The weights must still add up to 1: \(\frac{-1}{5} + \frac{6}{5} = 1\).
A negative weight means you’ve gone past the endpoint — the point is “beyond” one vertex.
Signed Barycentric Coordinates
For a point \(P\) outside triangle \(ABC\), the same formula works:
\[P = \frac{S_1}{S}A + \frac{S_2}{S}B + \frac{S_3}{S}C\]
The area \(S_i\) is negative when \(P\) is on the opposite side of edge \(i\) from the triangle’s interior. The total signed area \(S = S_1 + S_2 + S_3\) still equals the triangle’s area.
Cheat Sheet
| What you want | What to do |
|---|---|
| Median of trapezoid | \(m = \frac{u + \ell}{2}\) |
| Line at fraction \(t\) from top | \(x = (1-t) \cdot u + t \cdot \ell\) |
| Point outside segment | Use negative weight; weights still sum to 1 |
| Exterior barycentric coords | Same formula; area opposite the “far” vertex is negative |
| Butterfly ratios | All sub-triangle pairs sharing a cevian follow the same ratio |
Vector Approach to Segment Lengths
\[|Q - P| = |(1-t)(D-A) + t(C-B)| = (1-t) \cdot u + t \cdot \ell\]
(works because both vectors point in the same direction)