Rational Functions & Asymptotes
Asymptotes appear everywhere:
- Speed of light: as you add energy to accelerate a particle, its speed approaches but never reaches the speed of light
- Medicine: drug concentration in blood rises quickly then approaches a maximum level asymptotically
- Economics: diminishing returns — the 100th employee doesn’t help as much as the 1st
- Phone battery: charging slows down as it approaches 100%
Topics Covered
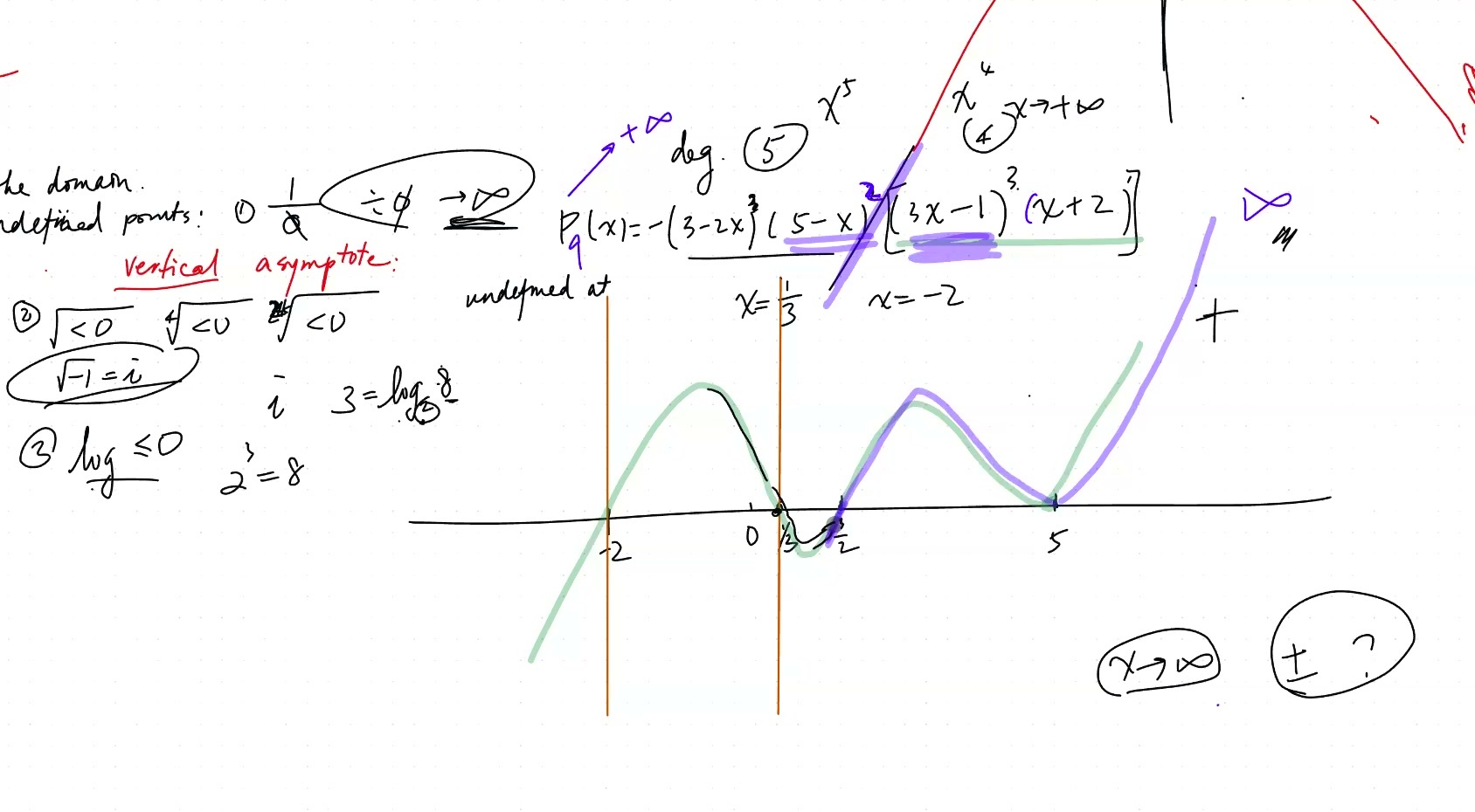
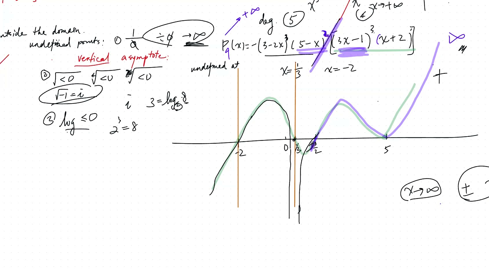
- Leading coefficient and end behavior of polynomials
- Rational functions: \(R(x) = \frac{P(x)}{Q(x)}\)
- Vertical asymptotes (division by zero)
- Horizontal asymptotes (degree comparison)
- Three types of undefined operations
- Graphing rational functions
Lecture Video
Key Video Frames




You already know polynomials like \(y = x^2 - 3x + 2\).
A rational function is just one polynomial divided by another:
\[R(x) = \frac{\text{numerator polynomial}}{\text{denominator polynomial}} = \frac{P(x)}{Q(x)}\]
The key difference: the denominator can be zero, which makes the function undefined at those points!
A line that a graph gets closer and closer to but never actually touches.
Imagine walking toward a wall, but each step you take is half the remaining distance. You get closer and closer but technically never reach it. That wall is your asymptote!
- Vertical asymptote: a vertical line the graph approaches (function blows up to infinity)
- Horizontal asymptote: a horizontal line the graph approaches as \(x \to \pm\infty\)
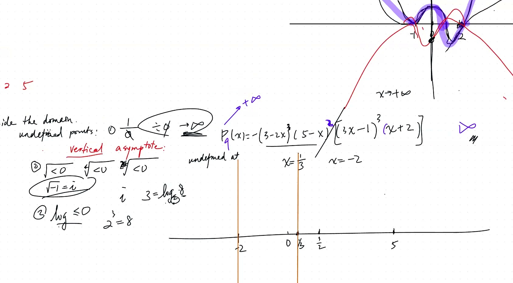
Three Types of Undefined Operations
- Division by zero → vertical asymptote (function → ∞)
- Even root of negative number → restricts domain
- Logarithm of non-positive number → restricts domain
The discriminant \(b^2 - 4ac < 0\) means no real roots for a quadratic.
Example 1: Graph \(y = \frac{1}{x}\)
- Vertical asymptote: \(x = 0\)
- Horizontal asymptote: \(y = 0\)
- Odd function: \(f(-x) = -f(x)\) (symmetric about origin)
Explore — move the asymptotes with sliders:
When \(x\) is huge, only the highest power matters. Everything else is peanuts!
Example: \(\frac{3x^5 + 2x}{x^3 - 1}\) — for huge \(x\), this is basically \(\frac{3x^5}{x^3} = 3x^2 \to \infty\) (top-heavy)
Asymptotic Behavior
For \(R(x) = \frac{P(x)}{Q(x)}\), compare degrees:
| Condition | As \(x \to \pm\infty\) | Name |
|---|---|---|
| \(\deg(P) > \deg(Q)\) | \(R(x) \to \pm\infty\) | Top-heavy |
| \(\deg(P) < \deg(Q)\) | \(R(x) \to 0\) | Bottom-heavy |
| \(\deg(P) = \deg(Q)\) | \(R(x) \to \frac{a_n}{b_n}\) | Horizontal asymptote |
Sign at infinity
Count the number of negative factors (including leading coefficient). Even/odd power roots don’t change the sign analysis — just count negatives!
The rule “cannot take even root of a negative” can actually be broken! In advanced math, we define \(i = \sqrt{-1}\) (the “imaginary unit”). Then \(\sqrt{-4} = 2i\).
Despite the name “imaginary,” these numbers are used in real engineering — electrical circuits, quantum physics, and signal processing.
Behavior near vertical asymptotes
At a vertical asymptote \(x = r\) from factor \((x - r)^n\) in denominator:
- Odd power \(n\): function changes sign (goes \(+\infty\) on one side, \(-\infty\) on other)
- Even power \(n\): function keeps same sign (goes to \(\pm\infty\) on both sides)
Explore a rational function with multiple asymptotes:
Cheat Sheet
| Question | Answer |
|---|---|
| Where are vertical asymptotes? | Set denominator = 0, solve for \(x\) |
| Function goes to \(+\infty\) or \(-\infty\) near asymptote? | Check sign on each side |
| What happens as \(x \to \pm\infty\)? | Compare degrees (top-heavy / bottom-heavy) |
| Odd power root | Function changes sign (crosses) |
| Even power root | Function bounces (same sign both sides) |
Three Things You Can NEVER Do
- Divide by zero → vertical asymptote
- Even root of negative → restricts domain
- Log of non-positive → restricts domain