Power Functions & 3D Coordinates
Different powers appear in different physical laws:
- \(x^1\) (linear): Constant speed motion — distance grows linearly with time
- \(x^2\) (quadratic): Falling objects — distance grows with time squared
- \(x^3\) (cubic): Volume — double a cube’s side length, volume becomes \(8\times\) (\(2^3\))
- \(x^{1/2}\) (square root): Earthquake magnitude — energy grows exponentially
- \(x^{-1}\) (reciprocal): Sound — loudness decreases as \(\frac{1}{\text{distance}}\)
- \(x^{-2}\) (inverse square): Gravity! Newton’s law says gravitational force decreases as \(\frac{1}{r^2}\)
Topics Covered
- Power functions \(y = x^k\) for various \(k\)
- Integer, fractional, negative exponents
- Inverse functions and graphical symmetry
- Even vs odd functions
- Behavior at \((0,0)\) and \((1,1)\)
Lecture Video
Key Video Frames




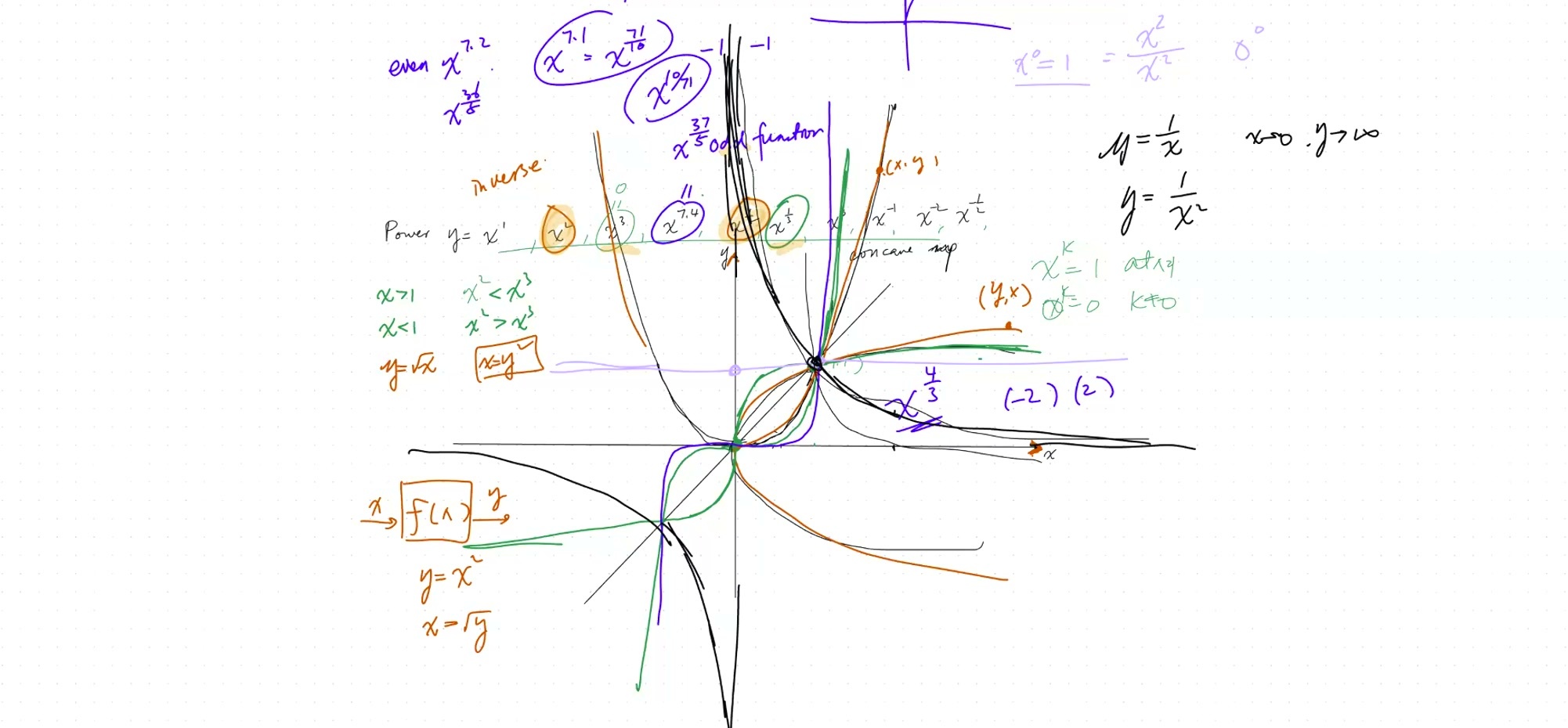
Think of \(k\) as a “personality dial”:
- \(k = 1\): boring straight line
- \(k > 1\): curve bends UP (grows faster than linear)
- \(0 < k < 1\): curve bends DOWN (grows slower than linear, like a root)
- \(k = 0\): flat line at \(y = 1\) (everything to the zero power is 1)
- \(k < 0\): curve goes toward infinity near zero and toward zero far away
Magic point: ALL power functions pass through \((1, 1)\) because \(1^k = 1\) for any \(k\)!
Family of Power Functions
All power functions \(y = x^k\) pass through \((1, 1)\) and (for \(k \neq 0\)) through \((0, 0)\).
- For \(x > 1\): higher power → larger value (steeper curve)
- For \(0 < x < 1\): higher power → smaller value (closer to x-axis)
Explore — change the exponent \(k\):
Plug in \(-x\) and see what happens:
- Even function: \(f(-x) = f(x)\) → symmetric about y-axis (mirror left/right). Examples: \(x^2\), \(x^4\)
- Odd function: \(f(-x) = -f(x)\) → symmetric about origin (rotate 180 degrees). Examples: \(x\), \(x^3\), \(1/x\)
Even vs Odd for fractional exponents
For \(y = x^{p/q}\) (in lowest terms):
| Numerator \(p\) | Denominator \(q\) | Function type | Domain |
|---|---|---|---|
| Odd | Odd | Odd function | All reals |
| Even | Odd | Even function | All reals |
| Any | Even | Neither | \(x \geq 0\) only |
Example: \(x^{7.4} = x^{37/5}\) — both 37 and 5 are odd → odd function
Example: \(x^{7.2} = x^{36/5}\) — 36 is even → even function
If a function \(f\) turns input \(x\) into output \(y\), the inverse function \(f^{-1}\) turns \(y\) back into \(x\).
Example: - \(f(x) = x^2\) squares a number: \(f(3) = 9\) - \(f^{-1}(x) = \sqrt{x}\) un-squares it: \(f^{-1}(9) = 3\)
Graphically: inverse functions are mirror images across the line \(y = x\).
Think of it like this: if \((3, 9)\) is on \(y = x^2\), then \((9, 3)\) is on \(y = \sqrt{x}\) — the coordinates are just swapped!
Inverse Functions
- \(x^2\) and \(\sqrt{x}\) are inverses
- \(x^3\) and \(\sqrt[3]{x}\) are inverses
- Graphically: mirror image across \(y = x\) line
- Swapping \(x\) and \(y\) in the equation gives the inverse
See the mirror symmetry — \(x^2\) vs \(\sqrt{x}\):
Cheat Sheet
| Exponent \(k\) | Name | Shape | Key feature |
|---|---|---|---|
| \(k > 1\) | Power | Curves up steeply | Faster than linear |
| \(0 < k < 1\) | Root | Curves and flattens | Slower than linear |
| \(k = 0\) | Constant | Flat line at \(y = 1\) | \(x^0 = 1\) always |
| \(k < 0\) | Reciprocal | Asymptotes at axes | Blows up at \(x = 0\) |
Universal point: All \(y = x^k\) pass through \((1, 1)\)
| Concept | Result |
|---|---|
| \(x^0 = 1\) | For all \(x \neq 0\) |
| \(x^{-n} = \frac{1}{x^n}\) | Negative power = reciprocal |
| \(x^{p/q} = \sqrt[q]{x^p}\) | Fractional power = root |
| Inverse: swap \(x \leftrightarrow y\) | Mirror across \(y = x\) |