Completing the Square & Parabolas
Parabolas are everywhere in real life!
- Basketball free throw: the ball follows a parabolic arc
- Satellite dishes: shaped as parabolas to focus signals
- Car headlights: parabolic reflectors focus light into a beam
- Bridges: suspension cables hang in parabolic curves
Every time you throw something in the air, it traces a parabola.
Topics Covered
- Completing the square process
- Graphing quadratic functions
- Vertex form and axis of symmetry (AOS)
- Parabolas: upward vs downward opening
- Maximum and minimum of quadratic functions
- Constructing equations from graphs
Lecture Video
Key Video Frames




What You Need to Know First
A quadratic equation is any equation where the highest power of \(x\) is 2.
General form: \(y = ax^2 + bx + c\)
Examples:
- \(y = x^2 + 3x + 2\) — quadratic (\(x^2\) is highest power)
- \(y = 2x^2 - 5\) — quadratic (no \(x\) term, but still has \(x^2\))
- \(y = 3x + 1\) — NOT quadratic (highest power is 1, that’s linear)
A function is a rule: you put in an \(x\) value, and you get out a \(y\) value.
Graphing means: plug in many \(x\) values, get the \(y\) values, plot all the points \((x, y)\), and connect them with a curve.
For \(y = x^2\): \(x = -2 \Rightarrow y = 4\), \(x = 0 \Rightarrow y = 0\), \(x = 2 \Rightarrow y = 4\) — connect them and you get a U-shaped curve called a parabola!
Key Concepts
Completing the Square
For a quadratic \(y = x^2 + ax + b\):
- Focus on the \(x\) terms: \(x^2 + ax\)
- Half the middle coefficient: \(\left(\frac{a}{2}\right)\)
- Write as: \(\left(x + \frac{a}{2}\right)^2\)
- Compensate: \(y = \left(x + \frac{a}{2}\right)^2 + \left(b - \frac{a^2}{4}\right)\)
- Parabola: The U-shaped curve from a quadratic. Opens upward (bowl) or downward (umbrella).
- Vertex: The highest or lowest point — where the curve “turns around.”
- Axis of Symmetry (AOS): The vertical line that divides the parabola into two mirror halves. Always passes through the vertex.
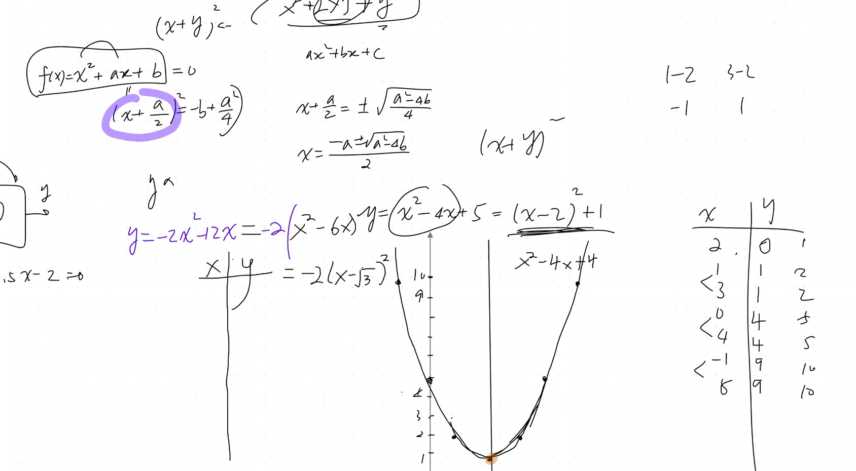
Example 1: \(y = x^2 - 4x + 5\)
Remember that \((x - 2)^2 = x^2 - 4x + 4\)
Our equation \(x^2 - 4x + 5\) is almost this! It has the same \(x^2 - 4x\) part, just with a different constant.
The trick: Force it into \((x - \text{something})^2 + \text{leftover}\) — this tells us exactly where the vertex is!
\[y = x^2 - 4x + 5 = (x - 2)^2 + 1\]
- Half the coefficient of \(x\): \(\frac{-4}{2} = -2\)
- \((x-2)^2 = x^2 - 4x + 4\) gives us the first two terms
- Compensate: \(5 - 4 = 1\), so \(y = (x-2)^2 + 1\)
Try it — drag the sliders to change \(a\), \(h\), \(k\):
Example 2: \(y = -2x^2 - 12x\)
\[y = -2(x+3)^2 + 18\]
- Vertex: \((-3, 18)\) — this is a maximum
- AOS: \(x = -3\)
- Opens downward (leading coefficient \(< 0\))
In real life, you often see data (a graph, measurements, a trajectory) and need to find the equation that describes it. Scientists do this all the time: collect data, plot it, find the equation. That equation lets you predict what happens at values you haven’t measured yet.
Example 3: Construct equation from graph
Given: Vertex at \((4, -1)\) and a point at \((7, -7)\)
- From vertex: \(y = k(x - 4)^2 - 1\)
- Plug in \((7, -7)\): \(-7 = k(3)^2 - 1 \Rightarrow k = -\frac{2}{3}\)
- Answer: \(y = -\frac{2}{3}(x-4)^2 - 1\)
Cheat Sheet
| What you want | What to do |
|---|---|
| Find the vertex | Complete the square → \((x - h)^2 + k\) → vertex is \((h, k)\) |
| Find AOS | \(x = h\) (the x-value of the vertex) |
| Opens up or down? | \(a > 0\) → up (bowl) / \(a < 0\) → down (umbrella) |
| Max or min value? | Up → minimum at \(y = k\) / Down → maximum at \(y = k\) |
| Find equation from graph | Vertex → \(h, k\) + one point → solve for \(a\) |
The Completing the Square Recipe
\[y = x^2 + ax + b \;\longrightarrow\; y = \left(x + \frac{a}{2}\right)^2 + \left(b - \frac{a^2}{4}\right)\]