Centroid & Median Lines
If you cut a triangle out of cardboard and try to balance it on your fingertip, there’s exactly ONE point where it balances perfectly. That’s the centroid!
Engineers use this to find the center of gravity of:
- Aircraft wings (for stable flight)
- Building structures (for earthquake resistance)
- Robotic arms (for balanced movement)
The beautiful part: no matter how weird the triangle shape, the centroid is always at the same simple formula.
Topics Covered
- Median lines of a triangle
- Proving medians are concurrent (meet at one point)
- The centroid as center of mass
- Algebraic proof via linear combinations
- Centroid divides each median in 2:1 ratio
A median is a line segment from a vertex to the midpoint of the opposite side.
Every triangle has exactly 3 medians (one from each vertex).
Amazing fact: all 3 medians always cross at the same point! This is NOT obvious — three random lines usually don’t all meet at one point.
Lecture Video
Key Video Frames




Find the centroid of a triangle
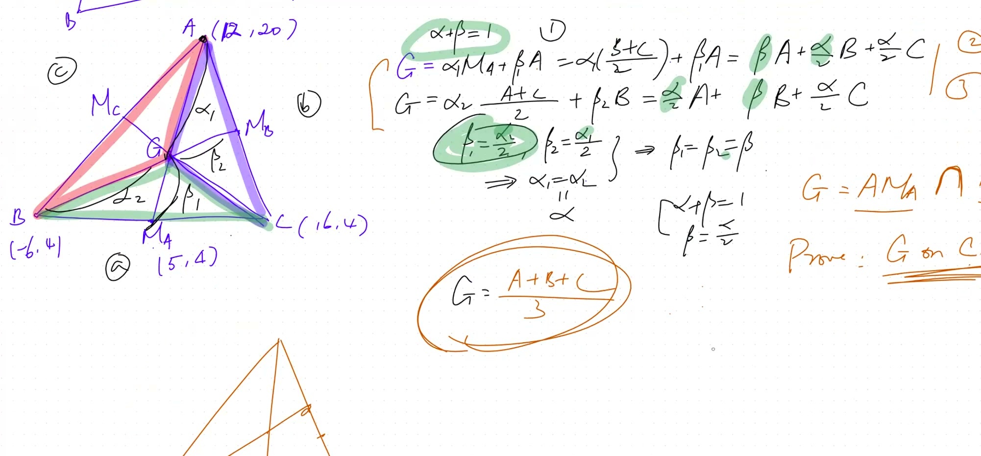
Given: \(A = (12, 20)\), \(B = (-6, 4)\), \(C = (16, 4)\)
Step 1: Find midpoint \(M_A\) (midpoint of \(BC\)): \[M_A = \frac{1}{2}(B + C) = (5, 4)\]
Step 2: The centroid lies \(\frac{2}{3}\) of the way from vertex to midpoint:
\[G = \frac{1}{3}(A + B + C) = \left(\frac{22}{3}, \frac{28}{3}\right)\]
Drag the vertices to see the centroid move:
We write \(G\) as a linear combination of \(A\), \(B\), \(C\) using TWO different medians, then show they must give the same answer.
Step 1: \(G\) is on median from \(A\) to \(M_A = \frac{1}{2}(B+C)\): \[G = (1-\alpha) \cdot A + \frac{\alpha}{2}B + \frac{\alpha}{2}C\]
Step 2: \(G\) is also on median from \(B\) to \(M_B = \frac{1}{2}(A+C)\): \[G = \frac{\alpha_2}{2}A + (1-\alpha_2)B + \frac{\alpha_2}{2}C\]
Step 3: Compare coefficients — this forces \(\alpha = \frac{2}{3}\), and all weights come out to \(\frac{1}{3}\)!
The Proof: Medians Concur
Write \(G\) on two different medians and expand in terms of \(A, B, C\). Comparing coefficients forces:
\[\alpha = \frac{2}{3}, \quad \beta = \frac{1}{3}\]
This means \(G\) is at \(\frac{2}{3}\) of the way from each vertex to the opposite midpoint.
Result: The Centroid Formula
\[\boxed{G = \frac{1}{3}(A + B + C)}\]
The centroid is simply the average of the three vertices!
Why it matters
- The centroid is the center of mass — balance point of a triangular board
- It divides each median in the ratio 2:1 (vertex to midpoint)
- The proof technique (comparing linear combinations) generalizes to:
- Higher dimensions
- Equations of planes in 3D
- Linear modeling and optimization
The centroid is located \(\frac{2}{3}\) of the way from each vertex to the midpoint of the opposite side.
In our proof, we found \(\alpha = \frac{2}{3}\) — that’s this ratio! So the centroid is always closer to the midpoint than to the vertex.
Cheat Sheet
| Concept | Formula |
|---|---|
| Midpoint of side \(BC\) | \(M_A = \frac{1}{2}(B + C)\) |
| Centroid | \(G = \frac{1}{3}(A + B + C)\) |
| Centroid divides median | In ratio \(2:1\) from vertex |
| Medians are concurrent | All 3 meet at \(G\) (proven!) |
Remember: The centroid is just the average of the three corners. Add the coordinates, divide by 3. Done!